İçindekiler
AYT Matematik Diziler Konu Anlatımı
Diziler, belirli bir kurala göre sıralanmış sayılar topluluğudur.
Her eleman bir sıraya sahiptir ve genellikle:
a1, a2, a3,…, an
şeklinde gösterilir.
AYT’de diziler konusu;
-
Genel terim bulma
-
Aritmetik ve geometrik dizi özellikleri
-
Özdeşlikler, denklem kurma
-
Dizi kuralları ile problem çözme
üzerine kurulur.
🔹 Ünitenin Alt Başlıkları:
-
Dizi Kavramı ve Gösterimi
-
Aritmetik Dizi
-
Geometrik Dizi
-
Genel Terim ve Rekürsif Tanım
-
Dizi Problemleri ve Uygulamalar
Dizi Kavramı ve Gösterimi
📘 A. Dizi Nedir?
Dizi, belli bir kurala göre sıralanmış sonlu ya da sonsuz sayı topluluğudur.
Her sayıya terim, her terimin sırasına indis denir.
📘 B. Gösterim Şekli
Bir dizinin terimleri:
![]()
şeklinde gösterilir.

🎓 Örnek 1:
![]()
Bu, her terimi bir öncekinden 3 fazla olan bir dizidir.
📘 C. Dizi Türleri
-
Sabit Dizi: Her terim aynı (örneğin: 5, 5, 5, 5, …)
-
Doğrusal (Aritmetik) Dizi: Terimler arasında sabit fark var
-
Üstel (Geometrik) Dizi: Terimler arasında sabit oran var
-
Kurallı Dizi: Belirli bir matematiksel formülle tanımlanmış
-
Rekürsif Dizi: Her terim, önceki terim(ler) kullanılarak tanımlanmış
📘 D. Dizi ve Fonksiyon Arasındaki Fark




Aritmetik Dizi
📘 A. Tanım
Bir dizide, ardışık iki terim arasındaki fark sabit ise bu diziye aritmetik dizi denir.
Bu sabit farka:
denir.
📘 B. Aritmetik Dizi Formülleri
🔹 Genel Terim (n. terim):
🔹 İki Terim Arasındaki Terim:
![]()
🔹 Toplam Formülü:
İlk n terimin toplamı:



📘 C. Ortadaki Terim Özelliği
Aritmetik dizide:
Ortadaki terim, etrafındaki iki terimin aritmetik ortalamasıdır.



Geometrik Dizi
📘 A. Tanım
Ardışık terimleri arasında sabit bir oran bulunan dizilere geometrik dizi denir.
Bu sabit orana:
denir.
📘 B. Geometrik Dizi Formülleri
🔹 Genel Terim:

🔹 İki Terim Arasındaki Terim:
![]()
🔹 İlk n Terimin Toplamı (r ≠ 1):



📘 C. Ortadaki Terim Özelliği
Geometrik dizide:
Ortadaki terimin karesi, etrafındaki iki terimin çarpımına eşittir.



Genel Terim ve Rekürsif Tanım
📘 A. Genel Terim Nedir?
Bir dizinin her terimini n’e bağlı olarak veren formüle genel terim denir:
Bu formül sayesinde istenilen terim kolayca bulunur.
🎓 Örnek 1:
![]()
Bu bir aritmetik dizidir.
📘 B. Rekürsif (Özyinelemeli) Tanım
Bir dizinin her teriminin önceki terime bağlı olarak tanımlanmasıdır:
Yani bir sonraki terim, bir önceki terime göre hesaplanır.


📘 C. Genel Terim Bulma (Rekürsif → Direkt)
🎓 Örnek 4:
Verilen:
![]()
Bu bir aritmetik dizi ⇒
![]()
🎓 Örnek 5 (Karışık Dizi):
Verilen:
![]()
Negatif–pozitif dönüşümlü bir dizidir.


Dizi Problemleri ve Uygulamalar
📘 A. Dizi ile Denklem Kurma
Bazı sorularda dizinin genel terimi verilmez ama bazı terimleriyle denklem kurmamız gerekir.
🎓 Örnek 1:
Bir dizinin 3. terimi 10, 6. terimi 19’dur. Dizi aritmetik olduğuna göre genel terimi nedir?

Bu iki denklemden:

📘 B. Terimler Toplamı ile Kurgu Soruları
Bazı problemler toplam formülüyle çözülür.
🎓 Örnek 2:
Bir öğrenci her gün 2 TL fazla para biriktiriyor. İlk gün 1 TL koyduğuna göre, 10 günde toplam kaç TL biriktirmiştir?
Bu bir aritmetik dizi:

📘 C. Eşitlik Kurmalı Sorular (Kesişim, Denk Olanlar)
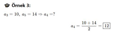
🎓 Örnek 3:

📘 D. Karışık Dizi Problemleri (Modelli – Kelimeli)
Bu tür sorularda dizi doğrudan verilmez, senaryoyla tanımlanır.
→ Genel terimi ya da toplamı bulmak gerekir.
🎓 Örnek 4:
Bir şirketin ilk ay geliri 10 bin TL’dir. Her ay bir öncekinin 1.2 katı kadar gelir elde ediliyor.
→ 4. ay geliri ne olur?
Bu bir geometrik dizi:
![]()


Diziler AYT Deneme Testi
(Cevap anahtarı en altta)










